东方鹤老师,是成功的邮市投资大家,令人尊敬的行业前辈,其整理的京东邮币数据表对于投资者来说非常有参考价值,值得挖掘,感谢东方鹤老师的辛苦付出。
二月份,京东邮币交易经历了一次快速上涨与急跌的演练,投资者的心态再次受到考验。总体表现为上涨,大盘市值较一月大涨1.55亿元,总市值已超过十个亿,具体指标如下:
分板块统计的明细情况:
已上盘所有邮品:

封片板块:

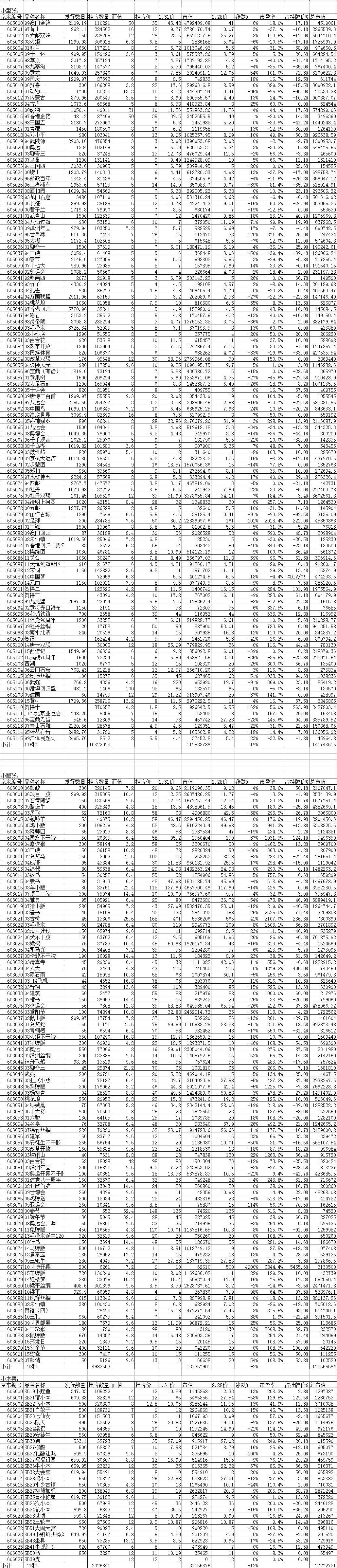
邮票板块:


钱币板块:

按照发行量大小统计的情况:
封片板块:

邮票板块:


按照挂牌数量多少统计的情况:
封片板块:

邮票板块:


按照涨跌幅统计的情况 :
封片板块:(绿色为二月份下跌品种,黄色为二月份涨幅50%以上品种)

邮票板块:(绿色为二月份下跌30%以上品种,黄色为二月份涨幅50%以上品种)


按照总市值大小统计的情况:
封片板块:(绿色标出的是目前500万元市值以上品种。)

邮票板块:(绿色标出的是目前100万以上市值品种,粉红色是目前300万以上市值品种)


封片板块按照上盘比例高低统计的情况:(绿色标出的是目前上盘率在25%以上的品种)








520